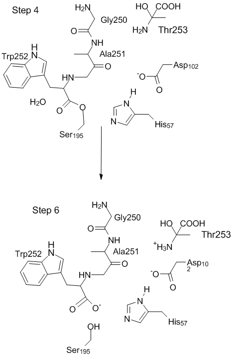
(Modeling proteins) (Chymotrypsin Mechanism: Step 1, Step 2, Step 3, Step 4, Step 5, Step 6)

Transition state between Steps 4 and 6 of Chymotrypsin Mechanism

  (PDB file) (ARC file)



In this reaction, water hydrolyzes the ester between Trp252 and Ser195,
and a proton migrates onto Thr253. In the transition state, a hydrogen of
 H2O is moving to the oxygen of Ser195.
The proton of  H2O has completed the move to the amine group of
Thr353, the oxygen of H2O has completed the move to the carbonyl
carbon of Trp252, and the Ser195 oxygen to Trp252 bond has been
broken.
This transition state is the same as that for Steps 3-6. Step 3 and Step 4
differ in the distance of Thr253 from Trp252.

Toggle display all

Toggle center picture

Fit to screen

Interesting parts:
His57 Gly193 Asp194 Ser195 Trp252
Thr253 H2O

Toggle spin Toggle stereo