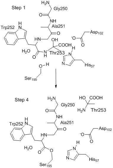
(Modeling proteins) (Chymotrypsin Mechanism: Step 1, Step 2, Step 3, Step 4, Step 5, Step 6)

Transition state between Steps 2 and 3 of Chymotrypsin Mechanism:
The proton on His 57 migrates to the substrate peptide nitrogen atom on Thr 253

  (PDB file) (ARC file)


This is not a genuine transition state.  The reaction in going from Step 1 to
Step 4 would proceed through intermediate steps.

Toggle display all

Toggle center picture

Fit to screen

Interesting parts:
His57 Gly193 Asp194 Ser195 Trp252
Thr253 H2O

Toggle spin Toggle stereo