(Modeling proteins) (Chymotrypsin Mechanism: Step 1, Step 2, Step 3, Step 4, Step 5, Step 6)

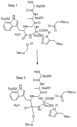
Transition state between Steps 1 and 3 of Chymotrypsin Mechanism:
Serine 195 oxygen forms a covalent bond with substrate peptide carbon
Serine 195 hydroxyl hydrogen forms a covalent bond with substrate peptide nitrogen

  (PDB file) (ARC file)



This transition state is higher in energy
than either of the transition states for
Steps 1 and 2 or Steps 2 and 3,
therefore the path from Step 1 to
Step 3 is not the lowest energy path.
 
Toggle display all

Toggle center picture

Fit to screen

Interesting parts:
His57 Gly193 Asp194 Ser195 Trp252
Thr253 H2O

Toggle spin Toggle stereo